Respuesta agronómica del trigo a la fertilización nitrogenada en el sudeste de Córdoba
Por Videla Mensegue, Horacio; Salafia, Analía. AER INTA Laboulaye
Introducción
El trigo es uno de los principales cultivos de invierno en la región sudeste de Córdoba. La productividad del mismo está limitada, en primer lugar, por la disponibilidad de radiación solar y temperatura definiendo el rendimiento potencial. El segundo factor que reduce la productividad es la disponibilidad de agua y nutrientes. Dentro de este último, el nitrógeno es el factor que más afecta la productividad y que puede ser manejado por el hombre en planteos de secano. La cantidad de nitrógeno disponible afecta el crecimiento en biomasa, el rendimiento y la calidad proteica del grano (Martinez y otros, 2015).
A su vez, el nitrógeno disponible afecta la eficiencia de uso del agua y la radiación. El objetivo de este trabajo fue evaluar la respuesta de la fertilización nitrogenada sobre el rendimiento y calidad del grano de dos variedades de trigo (grado I y II) en la región sudeste de Córdoba.
Materiales y métodos
1. Área de estudio
Los ensayos se realizaron en tres lugares del sudeste de Córdoba. Los lugares fueron: Laboulaye (LB), General Levalle (GL) y La Cesira (LC). Estos sitios tienen características edáficas y climáticas distintas. El suelo en LB fue franco arenoso, bien drenado, con la presencia de la capa freática entre 2 a 2.5 m de profundidad. En GL fue arenoso franco, bien drenado, con influencia de la capa freática mientras en LC el suelo fue franco con problemas de drenaje por la presencia de un horizonte denso (Bt) a 0.6 m de profundidad y sin presencia de la capa freática.
2. Ensayos y diseño experimental
Los ensayos fueron realizados en campos de productores con maquinaria y manejo sanitario propio del lugar. El diseño experimental fue en parcelas divididas (8 m ancho x 100 m largo) con dos repeticiones. Los tratamientos evaluados fueron: a) dos variedades de trigo con distinto grado de calidad y b) cuatro dosis de fertilización nitrogenada. Las variedades sembradas fueron: ACA 360 (grado I) y MS INTA 116 (grado II). Las dosis de fertilizante nitrogenado (N), aplicado como urea al voleo (LB) e incorporada (GL y LC) pre siembra, fueron: 0, 50, 100 y 150 kg/ha de N. Los tres sitios fueron tratados con fungicida en antesis (Amistar Xtra, 0.4 l/ha).
La siembra de los ensayos se realizó el 02/06, 09/06 y 10/06 en LB, GL, y LC; respectivamente. La densidad de siembra fue 120 kg/ha de semilla para cada variedad. En ambos casos se fertilizó con 80 kg/ha de fosfato monoamónico a la siembra. La distancia entre líneas fue 0.21 m. El control de malezas y plagas fue realizado por el productor con tratamientos convencionales. La cosecha se realizó con maquinaria convencional.
3. Variables medidas y análisis estadístico
En el período de crecimiento de los cultivos se midieron variables meteorológicas, del suelo, capa freática y del cultivo. Dentro de las primeras se registró la precipitación y temperatura con estaciones meteorológicas automáticas y mediciones del Servicio Meteorológico Nacional - Estación Laboulaye. En el suelo se midió la materia orgánica total, nitratos, azufre; y el contenido hídrico inicial. También se registró la profundidad de la capa freática al inicio y final de del crecimiento del cultivo. Las variables medidas de cultivos fueron: cantidad de espigas (en LB y LC), rendimiento y calidad de los granos (proteína, peso hectolítrico y peso de 1000 granos). Las mediciones de calidad de grano fueron realizadas en el laboratorio de calidad de la EEA INTA Marcos Juárez. La eficiencia de uso del nitrógeno (EUN) fue calculada como la relación entre el rendimiento en grano y la cantidad de nitrógeno disponible por tratamiento. La normalización de los rendimientos fue realizada a partir del rinde promedio de cada ensayo. La comparación estadística fue realizada con análisis de varianza usando el software INFOSTAT (Di Rienzo y otros, 2008).
Resultados y discusión
1. Condiciones meteorológicas y de suelo
El Cuadro 1 muestra las condiciones meteorológicas durante el período de crecimiento del cultivo para los tres sitios. La precipitación fue mayor en GL (356 mm) en comparación a LB (281 mm) y LC (214 mm). La temperatura máxima media fue 20 ºC mientras que la mínima fue 7.4 ºC registrándose un total de 25 heladas meteorológicas durante el ciclo de crecimiento del cultivo. Estas condiciones de temperatura se corresponden con los registros medios de la región. Sin embargo, el número de heladas ocurridas supera los valores medios registrados en los últimos 15 años. Además, se registró una helada, de baja intensidad, en los primeros días de octubre que es anormal para la región. Esta helada no causó daños importantes en el cultivo.
Cuadro 1. Condiciones meteorológicas durante el crecimiento del cultivo.

El Cuadro 2 muestra los resultados de la caracterización química, física y biológica de los suelos de los sitios de evaluación. El contenido de materia orgánica total varia de 1.23 a 2.2% (GL a LB, respectivamente) correspondiéndose con el tipo textural de los suelos. La cantidad de nitratos al momento de la siembra (0 – 60 cm de profundidad) fue muy elevada en LC (212 ppm) y normal en LB y GL (90 y 52 ppm, respectivamente). En consecuencia, los niveles de nitrógeno inicial fueron 30, 50 y 120 kg/ha para GL, LB y LC; respectivamente. El contenido de fósforo en el suelo fue de 10, 15 y 22 ppm para GL, LC y LB; respectivamente. El contenido hídrico del suelo al momento de la siembra fue 140, 97 y 112 mm a 1.5 m de profundidad para LB, GL y LC, respectivamente. Estos valores indican que el suelo se encontraba a capacidad de campo al momento de la implantación del cultivo en todos los sitios. La profundidad de la capa freática osciló entre 2.4 a 2.5 m en LB y 1.95 a 2.25 m en GL para el período entre siembra a madurez fisiológica. En LC no se observó la presencia de la capa freática. En el caso de LB y GL, es posible que una capa freática a esta profundidad aporte agua al cultivo, aunque el grado de aporte puede ser variable dependiendo de la profundidad de enraizamiento y las limitantes que pueda tener el suelo en profundidad.
Cuadro 2. Determinaciones de variables químicas, físicas y biológicas del suelo para los tres sitios de evaluación.

2. Comportamiento agronómico
2.1. Componentes del rendimiento
El número medio de espigas fue 363 y 385 espigas/m2 para LB y LC, respectivamente; no mostrando diferencias estadísticamente significativas entre variedades ni al agregado de nitrógeno. El rendimiento promedio de los ensayos fue 4326, 3577 y 2599 kg/ha para LB, GL y LC, respectivamente (Cuadro 3). Para LB el rinde medio del MS INTA 116 fue 4085 kg/ha mientras que el ACA 360 fue 4568 kg/ha siendo esta diferencia estadísticamente significativa. En GL el MS INTA 116 rindió 3705 kg/ha y el ACA 360 3448 kg/ha. En LC el rendimiento de MS INTA 116 fue 2612 kg/ha y el ACA 360 2586 kg/ha. En GL y LC las diferencias halladas entre variedades nos son estadísticamente significativas.
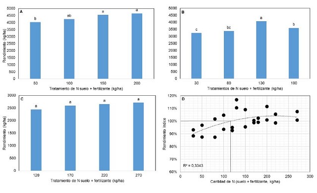
En los sitios LB y GL se encontró respuesta en el rendimiento a incrementos en la cantidad de nitrógeno (Gráfico 1). En LB el mayor rendimiento se logró con 150 kg/ha de N, mayores dosis del nutriente no se tradujeron en mayores rindes (Gráfico 1.A). En GL el mayor rendimiento se obtuvo con 130 kg/ha de N, con una dosis de N mayor el rinde baja (Gráfico 1.B). En cambio, en LC no se obtuvo respuesta en el rendimiento al agregado de N (Gráfico 1.C). La relación entre el rendimiento índice (normalizado según el promedio del ensayo) con la dosis de nitrógeno (suelo + fertilizante) muestra que la dosis óptima agronómica fue 115 kg/ha de N equivalente a un rendimiento de 3500 kg/ha (Gráfico 1.D). En este punto la eficiencia agronómica del uso del nitrógeno (EUN) es 32 kg grano/kg N (Gráfico 2) siendo coincidente con los valores mencionados en la bibliografía (Quinteros y Boschetti, 2016). A medida que se incrementa la cantidad de N disponible la EUN se reduce hasta alcanzar un mínimo de 10 kg grano/kg N. Esto indica que a medida que se incrementa la cantidad de N ofrecido al cultivo, la respuesta en el rendimiento aumenta a una tasa decreciente. Por otro lado, a partir de la dosis óptima agronómica y la EUN se puede establecer que la necesidad de nitrógeno por cantidad de grano es 31 kg N/tn grano (Gráfico 2).

Gráfico 1. Respuesta del rendimiento a la fertilización nitrogenada para Laboulaye (A), General Levalle (B), La Cesira (C), y relación rendimiento índice con dosis de nitrógeno (suelo + fertilizante, D). Rendimiento índice 100 = 3500 kg/ha. Letras distintas indican diferencias estadísticamente significativas para el test LCD de Fisher.

Gráfico 2. Relación entre la cantidad de nitrógeno (suelo + fertilizante) con la relación nitrógeno en grano (eje izquierdo) y eficiencia de uso del nitrógeno (eje derecho).
Las variaciones en la respuesta al agregado de nitrógeno están explicadas por la cantidad de agua disponible para el crecimiento del cultivo y el nitrógeno del suelo a la siembra. El primer factor regula el crecimiento potencial del cultivo limitado por agua, que en el caso de LC fue bajo (~ 2800 kg/ha) mientras que en LB fue mayor (~ 4830 kg/ha). Siguiendo el razonamiento anterior, la necesidad de N para un rendimiento de 2800 y 4830 kg/ha es 90 y 150 kg N/ha, respectivamente. En consecuencia, es esperable que para la condición del sitio LC no se haya observado respuesta a la aplicación de N al tener 120 kg/ha de nitrógeno disponible al momento de la siembra. Por otro lado, en LB una dosis de más de 150 kg/ha de N no genera un incremento de rendimiento ya que con esta cantidad de N se logra satisfacer la necesidad de N para el rinde máximo limitado por agua.
2.2. Calidad del grano
El Cuadro 3 muestra los parámetros de calidad de las variedades evaluadas y la cantidad de nitrógeno disponible. El porcentaje de proteína mostró diferencias entre variedades en LB y GL pero no en LC siendo superior en ACA 360 respecto al MS INTA 116. Sin embargo, el porcentaje de proteína en función de la disponibilidad de nitrógeno no mostró una respuesta clara entre sitios y variedades. Esta falta de respuesta puede deberse a que, para los rendimientos logrados, la disponibilidad de nitrógeno fue suficiente para mantener la cantidad de proteína del grano. El peso de mil granos mostró diferencias estadísticamente significativas entre variedades en LB y LG, pero no entre dosis de nitrógeno. En LB y GL el ACA 360 tuvo un peso superior al MS INTA 116. El peso hectolítrico (PH) se comportó de manera similar al peso de mil granos, la variedad ACA 360 tuvo mayor PH que MS INTA 116 (evaluado solo en GL).
Cuadro 3. Resultados de rendimiento, proteína, peso de 1000 granos y peso hectolítrico de ambos sitios y variedades evaluadas en función de la dosis de nitrógeno.

Conclusiones
Los resultados de estos ensayos permiten afirmar que el rendimiento del trigo se ve afectado por la disponibilidad de nitrógeno (suelo + fertilizante). La dosis óptima agronómica fue 115 kg/ha para un equivalente de rinde de 3500 kg/ha. La eficiencia de uso del nitrógeno para la dosis óptima agronómica fue 32 kg grano/kg N. A su vez, la necesidad de N por tonelada de grano fue 31 kg N/tn grano. Los parámetros de calidad (proteína, PH y peso de 1000 granos) mostraron diferencias significativas entre variedades, pero no entre dosis de nitrógeno para los rendimientos logrados y la cantidad de N evaluada.
Agradecimientos
Los autores de este trabajo quieren agradecer la colaboración de las siguientes personas: Pablo Chicco, Ricardo Carletti, Martín Arredondo, Ignacio Piola, Nicolas Bengua, Laura Franchino, Marcelo Manavella y Juan Monje. También se agradece los aportes realizados por las empresas ACA, Macro Seed y Nutrien.
Bibliografía
Di Rienzo J.A., Casanoves F., Balzarini M.G., Gonzalez L., Tablada M., y C.W.
Robledo. 2008. InfoStat, versión 2008, Grupo InfoStat, FCA, Universidad Nacional
de Córdoba, Argentina.
Martinez J.M.; Galantini, J.A. y M.R. Landriscini. 2015. Eficiencia en el uso
del nitrógeno del trigo en la región semiárida de Buenos Aires (Argentina):
efectos de la dosis y momento de aplicación. AGRISCIENTIA, VOL. 32 (1): 15-27.
Quintero, C.E. y G.N. Boschetti. 2016. Eficiencia de uso del Nitrógeno en Trigo y Maíz en la Región Pampeana Argentina. Artículo técnico Fertilizando.com


