Soja: Cosecha record
Introducción
La Bolsa de Comercio de Rosario elevó la estimación de producción de soja a 59 millones de toneladas. Esta estimación nos estaría dando un rendimiento promedio de alrededor de 3,00 tn/ha (30 qq/ha).
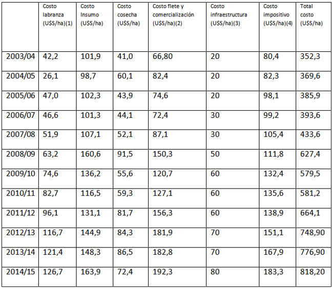
Lo que hay que calcular si con este aumento del promedio nacional, como serán los números finales para esta campaña. Para esto voy analizar cómo se fueron modificando los costos a lo largo de estas últimas 12 campañas (Cuadro 1), lo que permitirá luego analizar el rinde de indiferencia –rendimiento necesario para cubrir los costos- de todas las campañas.
Cuadro 1: Costos total de una hectárea de soja en campo propio
Elaboración Propia con datos del INTA(1) Valor de 3 UTA (2) 280 Km del puerto(3) 2 Sueldos + cargas sociales sin retiro empresarial (4)Impuesto al cheque+ Ganancia + Bienes Personales+ Inmobiliario+ Tasas+ Fondos

Rinde de indiferencia
Con estos números del costo por hectárea, si lo dividimos por el valor de la soja en mayo de cada año (Cuadro 2), obtendremos el rinde de indiferencia del cultivo.
Cuadro 2: Rinde de indiferencia de la soja
|
Campaña |
Total costo (U$S/ha) |
Valor de la soja Mayo de cada año (U$S/tn) |
Rinde indiferencia: Soja necesaria para cubrir los costos (Tn) |
|
2003/04 |
352,3 |
226,0 |
1,55 |
|
2004/05 |
369,6 |
165,0 |
2,24 |
|
2005/06 |
385,9 |
165,7 |
2,32 |
|
2006/07 |
393,6 |
196,6 |
2,00 |
|
2007/08 |
433,6 |
344,0 |
1,26 |
|
2008/09 |
627,4 |
209,0 |
1,56 |
|
2009/10 |
579,5 |
223,0 |
2,59 |
|
2010/11 |
581,2 |
325,0 |
1,78 |
|
2011/12 |
664,1 |
317,0 |
2,09 |
|
2012/13 |
748,9 |
325,0 |
2,30 |
|
2013/14 |
776,9 |
310,0 |
2,50 |
|
2014/15 |
818,2 |
225,0 |
3,63 |
Elaboración propia
Por último teniendo si al rinde de indiferencia, lo comparamos con el promedio de la campaña, sabremos cuanto fue el resultado final (Cuadro 3) del productor por haber sembrado soja.
Campaña Rinde indiferencia: Soja necesaria para cubrir los costos (Tn) Rendimiento promedio país (Tn/ha) Rinde indiferencia vs Rinde Promedio
|
Campaña |
Rinde indiferencia: Soja necesaria para cubrir los costos (Tn) |
Rendimiento promedio país (Tn/ha) |
Rinde indiferencia vs Rinde Promedio |
|
2003/04 |
1,55 |
2,20 |
0,65 |
|
2004/05 |
2,24 |
2,31 |
0,07 |
|
2005/06 |
2,32 |
2,67 |
0,35 |
|
2006/07 |
2,00 |
2,97 |
0,97 |
|
2007/08 |
1,26 |
2,82 |
1,56 |
|
2008/09 |
1,56 |
2,72 |
1,16 |
|
2009/10 |
2,59 |
2,90 |
0,31 |
|
2010/11 |
1,78 |
2,60 |
0,82 |
|
2011/12 |
2,09 |
2,28 |
0,19 |
|
2012/13 |
2,30 |
2,53 |
0,23 |
|
2013/14 |
2,50 |
2,77 |
0,27 |
|
2014/15 |
3,63 |
3,00 |
- 0,63 |
Conclusiones
a) Los costos tuvieron un aumento del 150 % - en dólares- en los últimos 12
años.
b) El valor de la soja en la actualidad es prácticamente igual a la de Mayo
2004.
c) Esta situación produce quebrantos en la rentabilidad del cultivo.
d) De las últimas 12 campaña, la actual es la única que el productor teniendo en
cuenta el rinde promedio del país pierde dinero.


